oficiální stránky závodu
Menu
  • Aktuality
  • Registrace
  • Propozice
  • Trať a profil
  • Výsledky
  • Galerie
  • Podporují nás
  • Kontakty
Facebook Instagram Youtube

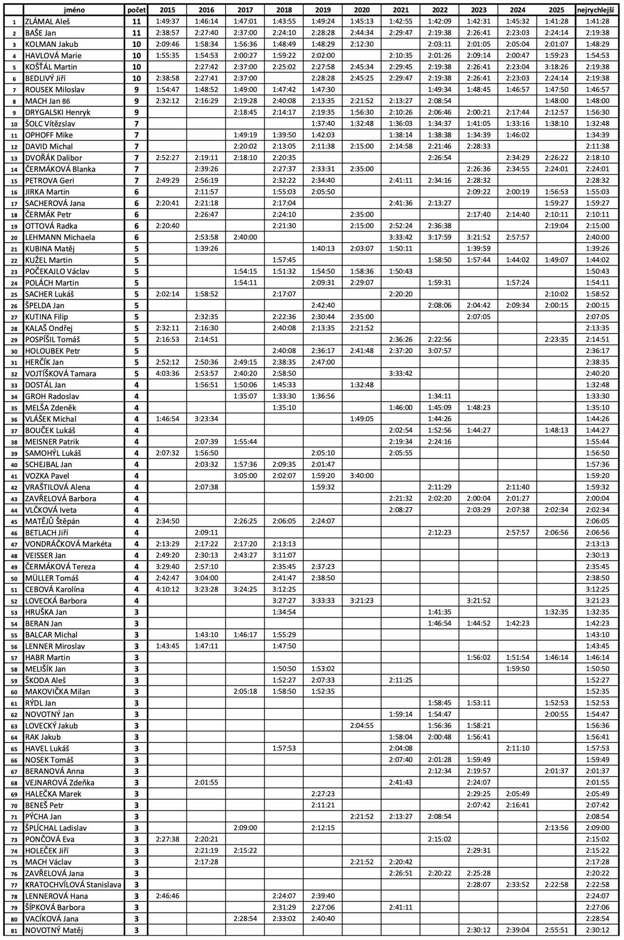
STATISTIKA doběhů na dlouhé trase 2015 - 2025

JuicyFolio